
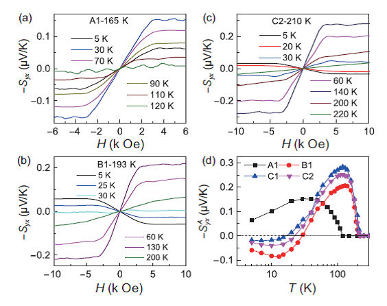
图:Fe3−δGeTe2体系的反常能斯特效应。(a)-(c)不同Fe含量Fe3−δGeTe2样品能斯特信号随磁场的依赖关系;(d) 不同Fe含量样品反常能斯特信号随温度的变化关系。
近日,换妻 凝聚态物理专业研究生杨海洋(2020届)和王祺(2021届)同学,在换妻 李玉科教授、曹超教授和戴建辉教授的指导下,联合浙江大学许祝安教授和中科院合肥物质科学研究院的田明亮研究员,共同对一系列不同铁空位的拓扑Weyl半金属Fe3−δGeTe2(0.05 < δ < 0.35)样品进行了系统的反常热电输运性质测量,首次发现了体系反常霍尔电导和反常能斯特信号强烈依赖Fe空位的内在关系及其来源;阐述了拓扑磁体中磁有序与拓扑的内在关系,并提出Fe3−δGeTe2体系是研究磁有序和拓扑相互作用的理想平台。
相关工作以“Sign-reversed anomalous Nernst effect in the ferromagnetic Weyl-semimetal Fe3−δGeTe2: the role of Fe vacancies”为题在线发表于中国科学:物理学、力学、天文学英文版《SCIENCE CHINA Physics, Mechanics & Astronomy》[中科院物理大类一区],杨海洋和王祺同学为论文的共同第一作者,李玉科教授、曹超教授和戴建辉教授为共同通讯作者。
磁性拓扑半金属体系由于磁有序和拓扑序的相互作用,往往导致新奇的物理现象。该论文最重要的研究成果是发现拓扑磁体Fe3−δGeTe2体系的反常输运性质霍尔效应和能斯特效应强烈依赖Fe空位的含量:随着Fe空位的减小,体系反常霍尔电导从Hopping区域逐渐过渡到由贝利曲率引起的内秉区域;而能斯特效应的值也逐渐增加,其符号也发生了反转。结合第一性原理计算,这些反常特性可能归结于Fe空位变化引起体系化学势的位移,从而调节贝里曲率在电子能带结构中的贡献。高铁空位(δ = 0.35)样品表现出较低的铁磁转变温度和较小的饱和磁矩,反常霍尔电导出现在Hopping区域;而低铁空位样品则正好相反,并在低温区出现能斯特效应符号的反转。我们的研究结果表明体系中铁空位不仅可以调节磁性,还可以通过同时调节化学势来控制费米能级附近外尔点(或节线)的贝里曲率变化,对体系呈现的反常物性起到关键作用。
文章DOI://doi.org/10.1007/s11433-022-1938-0
地址:杭州市余杭区余杭塘路2318号勤园19号楼
邮编:311121 联系电话:0571-28865286
Copyright © 2020 换妻-换妻俱乐部视频|换妻探花直播
公安备案号:33011002011919 浙ICP备11056902号-1
学院官微